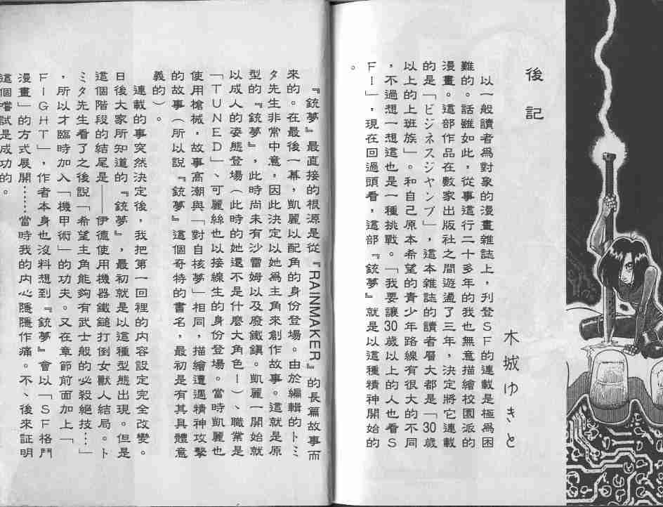
您目前的位置:看漫畫 - 萌系 - 銃夢 - 09卷 - 第 127 頁
上一章上一頁下一頁我要糾錯

關閉

  • 錯誤類型:
  • 頁面地址:

    https://www.k886.net/index-look-cid-15029-id-44164

  • 問題描述:
  •  取消

關閉

已經是最後一頁啦!如果您覺得這部漫畫不錯就分享給好友!

09卷
上一章上一頁第127頁下一頁

如果您覺得這部漫畫不錯就分享給好友!

我的推廣網址:

快捷分享推廣漫畫至社群,每來一個朋友,美金收益就增加一份,根本停不下來!

分享:
回到顶部
銃夢09卷漫畫來自網友分享和上傳,以便漫畫愛好者研究銃夢09卷漫畫畫法技巧和構圖方式。若喜歡漫畫,請支持購買正版!若侵犯到您的權益,請立即聯繫我們刪除
Copyright www.k886.net 看漫畫 All rights reserved